CST 软件抗反射超材料 SRR 涂层 --- 反射系数,反射率,相位, Floquet,THz
CST 软件虽然 Floquet 写了这么多文章,最近发现还是很多人搞不懂 Floquet 端口仿真多层材料的透射反射问题,尤其是仿的哪些界面和怎么计算界面处的相位。
使用周期结构模板:

画个 spacer 基底,材料新定义,介电 1.5,损耗 0.01:



WCS 放中间,画个 SRR,材料新定义:


CST 软件可通过 substract 相减完成建模,具体步骤省略:


边界换成 open,这样我们好控制距离:


此时 Zmin 紧贴材料,所以我们仿真是一个“空气---介质”界面,如果 Zmin 没有紧贴,仿真的就是“空气---介质---空气”两个界面,这个很多人还搞不清楚区别:

CST 软件计算相位要将端口参考到界面,这样相位是纯界面处的相位!

适当增加精确度:

由于 Zmin 端口接触的材料有损耗,我们需要将波导端口忽略损耗:

开始仿真。我们可新建 1D 结果文件夹,将 S11 复制进来,重命 r12:

添加后处理,将 S11 相位 unwrap,然后换成 rad 单位:

也新建文件夹保存相位结果:

下面我们看该图层的第二部分。WCS 对齐背部中间,新建十字“网格”结构:

新建材料:

添加 GaAs 的基底:

然后将之前的 SRR 和 spacer 排除仿真:

此时 Zmax 参考到十字网格,Zmin 紧贴基底,这样仿真还是一个“空气---介质”的界面:

仿真结束后,CST 软件将 S11 结果复杂粘贴到 S11:

将后处理相位结果复杂粘贴到 S11 phase:

S11 看 linear:


S11 phase 看 real


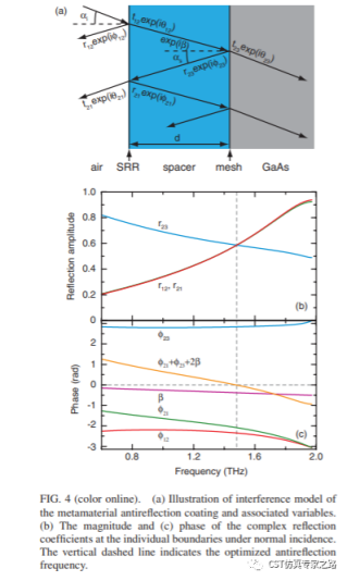
与文献一致:

CST 软件下面我们看完整的涂层,将 SRR 和 spacer 加回来仿真:

对 spacer 厚度进行参数扫描:

虽然模板以及给出反射率透射率结果,但是横坐标是波长。如果我们要频率,最直接的还是手动后处理啦:



与文献一致:

spacer=13um 时的吸波效果:


2THz 的反射效果:

小结:
1)波导端口(包括 Floquet 端口)是吸波的,贴在材料上和没贴在材料上仿真的内容是不一样的。需要先想清楚,我们要仿真哪个或哪些个界面的反射和透射。
2)反射系数是 reflection coefficient, S11; 反射率是 reflectance,S11 平方,不一样。
3) 可能有人问了,这里 GaAs 的基底厚度为什么随意定义呢?GaAs 这里无损,所以对 S21 的振幅没有影响,厚度对 S21 相位有影响,我们也没看它;因为端口贴上去,相当于无限拓展,所以对另一边的 S11 反射相位没有影响。为什么 spacer 厚度有影响呢?因为 spacer 两边的界面都有反射透射,自然有影响。说白了,还是看仿几个界面。这里最后完整结果是两个界面“空气---spacer---GaAs”,不是“空气---spacer---GaAs---空气”三个界面哦!
【相关内容】
评论