可观测数据质量从“看不见”到“修得准”

一个 0-100 的分数,就能告诉你:你的可观测数据,到底行不行?
以为可观测上线就万事大吉了?
Trace 有了、指标有了、日志也接了,怎么还是查不出问题根因?真相可能是:70%的可观测问题出在数据质量!
孤儿 Span 像“断头链”,追踪断片
高基数 span.name,卡死你的指标面板
service.name 空了,直接“认不出”是谁
1 小时 100 万条日志,90%没 severity_number,告警形同虚设
你以为你有数据,其实你只有“噪音”。
Instrumentation Score 规范
Instrumentation Score 是 CNCF 社区主导、供应商中立、完全开源的一个 OTel Instrumentation 质量标准,但目前还处于比较初级的阶段,GitHub 地址在这里:
https://github.com/instrumentation-score/spec
它定义了四大类评估对象:
资源:你的服务是谁?service.name、service.namespace、service.version 这些基础信息必须完整。 没有 service.name,你连“这是哪个服务”都不知道,查问题直接懵。
追踪:你的调用链完整吗?有没有“孤儿 Span”?span.name 是不是塞满了 session_id 导致高基数?
指标:你的指标维度是不是爆炸了?单位是不是乱七八糟?http_duration_ms 和 http_duration_seconds 混用,告警直接失灵。
日志:你的日志有 severity_number 吗?有 trace_id 能关联追踪吗?还是说,90%都是 INFO 级别的“Hello World”?
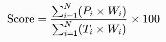
每一条规则都有影响等级:Critical、Important、Normal、Low,对应权重 40、30、20、10。
每个规则包括:
最终分数 = 加权通过率×100
90+:优秀,安心睡大觉
75-89:良好,小修小补
50-74:危险,赶紧排期
<50:爆炸,生产事故预告片
目前包括下面这些规则:
1. Resource 规则(RES-XXX):评估服务/资源元数据质量
这些规则确保资源属性(如 service.name)完整,用于服务识别和分组。
2. TraceSpan 规则(SPA-XXX):评估追踪 Span 完整性和规范
这些规则针对分布式追踪,确保 Span 链路完整、无高基数。
3. Metric 规则(MET-XXX):评估指标维度和一致性
这些规则防止指标高基数,确保聚合高效。
4. Log 规则(LOG-XXX):评估日志结构和关联
这些规则确保日志可搜索、可关联追踪。
日志易观察易如何基于这套规则对可观测数据的质量进行评分呢?
可以利用日志易 SPL 来每个规则进行计算:
比如上面的规则 SPA-005, SPL 命令如下:
不光对规则是否违反进行计算,还需要获取违反的示例,首次/最后一次违反的时间,以及每个服务违反的比例。
最后对每个规则进行评分汇总,官方评分公式:
变量解释:
N:影响级别总数(如 4 个:Critical、Important、Normal、Low)
Lᵢ:第 i 个影响级别
Wᵢ:该级别的权重(Critical 权重最高)
Pᵢ:该级别通过的规则数
Tᵢ:该级别总规则数
不过这个评分规则是个“二元(Pass/Fail)”的评估规则,没有考虑影响范围,他没有考虑到是 1 个服务违反了,还是 100 个服务违反了,而只关心这个规则有没有违反。所以在上面的计算中会计算每个服务违反的比例,增加“违规程度”字段,用于:
服务级分数
加权扣分(可选)
告警优先级
来进行增强评分。另外,还可以提供规则和服务级别的下钻,查看每个规则/服务的数据质量得分情况。
请记住:可观测性不是“堆数据”,而是“用好数据”。







评论