【原理到实战】实验异质性分析
什么是实验的异质性
1. 如何理解实验结果中的指标变化
当我们看到如下试金石实验指标结果时
在进行分析前,可能我们的第一直觉是这样的
经过异质性分析后,可能会发现实际情况是这样的
2. 概念解析与定义
实验的异质性,一般被称为 HTE(即 Heterogeneous Treatment Effects),意为实验中同一个 treatment 对不同的实验样本,得到的策略效果可能是不一样的。另外还有一些重要的概念需要大家理解
** 此处采用 Donald Rubin 提出的潜在因果框架(Potencial outcome)来对实验效果进行统计公式上的描述 [1]*
由于业内并没有统一的定义,HTE、CATE、ITE 概念在一定程度上会有混用的情况,读者需要参考描述以及上下文综合判断名词的含义
3. 异质性分析对于业务的意义
1.了解策略对于不同用户的不同效果,协助挖掘背后的业务逻辑,辅助迭代、进行新一轮的实验
2.尝试寻找策略最优子人群,让整体无效的策略,有机会进行部分先推全;反之依然,让部分负向的策略,减少损失
3.对实验结果建模后预测,对线上提供动态的最优人群支持
根据试金石测算,以某产品线下 6 月运行中的 35 个实验为例,仅 23% 左右的实验没有在实验人群视角发现异质性
异质性分析方法概述
1. 异质性分析的维度选择
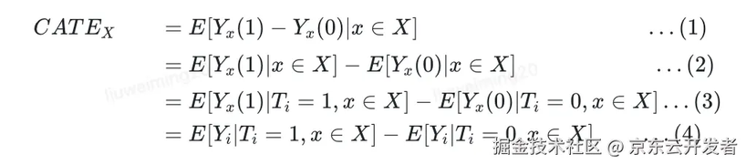
对于分流单元的维度 X,当 X 满足以下条件时,可以作为异质性的维度进行后续分析
▪
T⊥X
,即分析维度与实验分流无关 (Unconfoundedness)
▪分析工具化的常见简化方式:对于一个分流 ID,选取他在首次进入实验前一天的标签取值
▪简单推导:
**T 是随机化的,
T⊥Y,T⊥XT⊥Y,T⊥X
,所以
E[Yi(1)∣x∈X]=E[Yi(1)|Ti=1,x∈X]E[Yi(1)∣x∈X]=E[Yi(1)|Ti=1,x∈X]
,所以(3)成立
异质性分析的维度分析 bad case 举例
假设我们需要分析的实验策略为:根据用户的活跃度标签,低、中、高频用户的优惠券策略分别做了新/老策略迭代
2. 异质性分析的方法选择
** CATE、ITE 建模方法的细节可参考 Appendix*
CATE 下钻探索工具 MVP 版逻辑介绍
项目地址:http://xingyun.jd.com/codingRoot/abtest_ds/CATE_model
模型逻辑:多维度的维度下钻 + Decision Tree Interpreter
快速开始:
项目基本流程
YAML 配置方法:第一次可以先根据项目 demo 修改,并参考YAML配置说明.md
项目 MVP 功能说明
1.通过填写 YAML 配置,自动生成实验分析 SQL,并执行取数,目前包括
▪自动获取试金石实验分流信息
▪自动获取试金石实验指标信息
▪解析实验 CATE 研究使用的用户标签表
▪自动生成所有数据源的关联关系
2.为实验 CATE 研究提供自动化工具,目前包括
▪自动化生成实验目标指标的 CATE 差异最大化子人群
▪提供调参接口,高级用户可自定义模型参数
▪提供可视化的模型结果输出,高级用户可根据输出调节模型表现
3.为实验的下钻分析提供探索、分析功能,目前包括
▪CATE 人群的实验效果统计检验
▪CATE 人群的多指标拆解
▪CATE 人群的特征描述
实验异质性分析 show case
针对近期某频道重点改版实验,此项目整体实验指标为负向不显著,但通过运行分析工具后发现,有两类子人群分别具有正向和负向的显著效果
对于这些子人群,我们发现他们在业务漏斗上的变化并不一样,那么下次对于频道进行迭代时,产品经理可以整理有针对性的选择对负向人群进行针对性的优化
未来展望
1.自定义分流表
2.自定义画像表 & 经海路画像表
3.CATE 模型迭代
4.通用维度配置模版 & 业务场景模版
5.图形化交互界面,简化输入配置
Appendix & 参考资料
****【1】因果分析框架 & Donald Rubin 的 Potencial Outcome
•Potencial Outcome
◦设
TiTi
代表第 i 个样本是否收到了处理(treatment,策略影响),是为 1,否为 0
◦
YiYi
代表个体 i 的结果,另外记
{Yi(1),Yi(0)}{Yi(1),Yi(0)}
为个体 i 接受处理、对照的潜在结果
◦每个个体通常只会有 1 个状态,个体因果作用无法直接观测,我们只有
Yi=Ti∗Yi(1)+(1−Ti)∗Yi(0)Yi=Ti∗Yi(1)+(1−Ti)∗Yi(0)
◦在随机化实验的场景下,我们可以得到
其中最重要的逻辑为:
T 是随机化的,
T⊥YT⊥Y
,所以
E[Yi(1)]=E[Yi(1)|Ti=1]E[Yi(1)]=E[Yi(1)|Ti=1]
,所以(3)成立
•因果推断(一):因果推断两大框架及因果效应:https://zhuanlan.zhihu.com/p/652174282
•因果推断简介之二:Rubin Causal Model (RCM) 和随机化试验:https://cosx.org/2012/03/causality2-rcm/
【2】ANOVA 与 CATE 的交互效应分析
当需要进行异质性分析的维度为 X 时,我们可以通过构建下列回归方程去描述 X 在实验中是否存在显著的异质性,当
β3β3
对应的 F-test 显著时,我们就可以认为实验在维度 X 上存在显著的异质性
Y=β0+β1∗T+β2∗X+β3∗X∗TY=β0+β1∗T+β2∗X+β3∗X∗T
当
X∈{0,1}X∈{0,1}
时,我们可以用下图来进行异质性的理解
【3】CATE & ITE 估计
idea1:对于每个参与实验的对象 i,如果能得到
Yi(1)Yi(1)
和
Yi(0)Yi(0)
的合理估计,那么 ITE 就可求了 idea2:对于实验人群 X,如果能找到一种观测方式,求得
E[Yx(1)−Yx(0)∣x∈X]E[Yx(1)−Yx(0)∣x∈X]
,那么 CATE 就有了
•Meta Learner 的极简介绍
◦S-Learner
▪stage1: 利用模型估计
μ(x,t)=E[Y∣X=x,T=t]μ(x,t)=E[Y∣X=x,T=t]
▪stage2: 定义 CATE 结果如下
τ^(x)=μ^(x,T=1)−μ^(x,T=0)τ^(x)=μ^(x,T=1)−μ^(x,T=0)
◦T-Learner
▪sta
版权声明: 本文为 InfoQ 作者【京东科技开发者】的原创文章。
原文链接:【http://xie.infoq.cn/article/8b635a1a07a19472770e11c45】。文章转载请联系作者。







评论